Home Favorites My Account Menu
login
Playwire Advertisement

Bar Graph Worksheets

Free bar graph worksheets with answer key. No login or account needed. From reading traditional bar graphs and stacked bar graphs to learning to create a bar graph, we've got you covered. A grading column and quick grade scale maker grading a breeze and a modified pages help with lower level learners or when just introducing a topic. Great for teachers or for homeschool.

Image Size
×

Traditional Bar Graphs

Link
About these worksheets

These worksheets help students develop data literacy by reading and interpreting traditional bar graphs. Each problem set includes a bar graph with multiple categories and questions that ask students to compare values, find differences, and draw conclusions from the data. Aligned with second and third grade measurement and data standards.

4 Bars - Single Unit

Add to favorites Remove from favorites
Advertisement

Stacked Bar Graphs

Link
About these worksheets

Students practice reading and interpreting stacked bar graphs where multiple data series are layered within each bar. Worksheets include questions about individual category values, comparisons between groups, and understanding how parts relate to the whole. These activities build on basic bar graph skills for second and third graders.

4 Bars - Single Unit

Add to favorites Remove from favorites

5 Bars - Single Unit

Add to favorites Remove from favorites
Advertisement

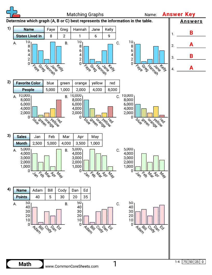
Charts

Link
About these worksheets

These worksheets teach students to organize raw data into charts and match data displays to the correct visual representations. Activities include creating charts from data sets, answering questions based on organized information, and matching charts to their corresponding bar graphs. Aligned with first and third grade standards.

Organizing Charts

Add to favorites Remove from favorites
Advertisement

Histograms

Link
About these worksheets

Students learn to work with histograms — a key data display for grouped numerical data. Worksheets cover creating histograms from data sets by sorting values into intervals, interpreting existing histograms to answer questions about frequency and distribution, and matching data sets to the correct histogram. These resources help students understand how data can be grouped and visualized.

Playwire Advertisement